聯系人:陳錫烽
手 機:13815981616 15295238777
電 話:0523-84569016 84553205
傳 真:0523-84561364
地 址:江蘇省泰州市靖江市城北園區富前路88號
G/Y4-73系列離心通風機 |
![]() |
一、風機的用途
該系列風機適用于火力發電廠中蒸汽鍋爐的送、引風系統,無其它特殊要求時,亦可用于礦井通風及一般通風,換氣及鼓風、引風用,其使用條件如下:
1.輸送氣體種類:空氣和其它不自燃的,對人體無害的氣體。輸送氣體的溫度不得超過80℃,引風機輸送氣體溫度不得超過250℃。其具有效率高、節能(系統匹配性好)、噪音低、運轉平穩、調節性能好等特點 。
2、引風機前,必須加裝除塵裝置,以保證進入風機的煙氣中含塵量盡量少。根據一般電廠使用情況,除塵效率不得低于85%。
二、風機的形式
1.風機可制成右旋和左旋兩種形式,從電動機一端正視,葉輪按順時針方向旋轉,稱為右旋風機,以“右”表示;葉輪按逆時針方向旋轉,稱為左旋風機,以“左”表示。
2.風機的出口位置,以機殼的出口角度表示。通風機和引風機制成單吸入,各有№8-29.5共13個機號。
3.風機的傳動方式為D式,電機與風機聯接均采用彈性聯軸器直聯傳動。
4.產品型號含義 (以G/Y4-73№22D為例)

三、主要組成部分的結構特征
該類型D式風機主要由葉輪,機殼,進風口,調節門,傳動組等組成。
1.葉輪:由12枚后向型機翼葉片,錐形前盤和平板形后盤三者焊接,后盤與軸盤采用鉚接;由于采用了機翼型葉片設計,保證了風機的高效率以及底噪音的特點。葉輪成型后經靜、動平衡校正,空氣動力性能良好,效率高,運轉平穩,安全可靠。
2.機殼:用普通鋼板焊接成蝸殼型整體,也可根據實際需要制成兩開式或三開式。在蝸板上裝有清灰門,便于清除堆積在葉片處和機殼內的積灰,以保證葉輪的平衡性和氣動性能。
3.進風口:制成整體,用螺栓固定于機殼入口處,進風口內形狀呈收斂、流線型,能使氣體均勻進入葉輪,損失較小。
4.傳動組:有主軸,軸承箱,聯軸器組成,主軸由優質碳鋼制成。軸承箱為整體結構,采用滾動軸承,以支撐葉輪使其安全運轉。軸承箱上裝有溫度計和油位指示器。潤滑油采用30#機械油。軸承箱經過改造裝有擋油環,側蓋處加甩油槽和回油環等四道密封結構,有效的防止漏油。引風機軸承箱運用循環水道冷卻,其用水量為0.5-1.0m3/h。
5.調節門:用來調節風機流量的大小。調節門葉片為花瓣形,軸向安裝在進風口前,由于采用了外部傳動結構,轉動靈活方便,調節范圍由90°(全閉)到0°(全開)。調節門的搬把位置從進風口方向看在右側。對右旋風機,搬把從下向上推,是由全閉到全開方向,對左旋風機,搬把從上向下拉是由全閉到全開方向。為使調節門各部正常工作,必須很好的潤滑。潤滑脂采用二硫化鉬高溫(260℃)潤滑脂,風機在高溫運轉時,仍能保證潤滑作用。
四、風機性能與選擇
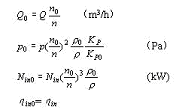
由無因次參數計算有因次參數的公式:

式中:
Q--流量(m3/h)
p--全壓(Pa)
D2--葉輪葉片外緣直徑(m)
U2--葉輪葉片外緣線速度(m/s)
ρ1--進氣密度(kg/m3)
KP--全壓壓縮性系數
Nin--內功率 (kW)
Nre--所需功率(kW)
ηm--機械效率(A式傳動取1,D式傳動取0.98)
K--電機的儲備系數(一般情況下通風機取1.15,引風機取1.3)
風機性能一般均指在標準狀態下輸送氣體的性能。標準狀態指大氣壓Pa=101325Pa,大氣溫度t=20℃,相對濕度50%,空氣密度ρ=1.2kg/m3。性能表中性能均指調節葉片為0°(調節門全開)時風機的性能。
當使用狀態為非標準狀態時,必須把非標準狀態的性能換算到標準狀態的性能,然后根據換算性能選擇風機。其換算公式如下:

式中:
ηin0--內效率
n--轉速(r/min)
無注腳0為使用狀態。
五、風機的安裝,調試和試運轉
⒈安裝前,應對風機各部件進行全面檢查,機件是否完整,葉輪與機殼的旋轉方向是否一致,各部件連接是否緊密,葉輪,主軸,軸承等主要機件有無損傷,傳動是否靈活等等。如發現問題應予以修好和調整。
⒉安裝時,注意檢查機殼內不應有掉入和遺留的工具和雜物,在一些結合面上為防止生銹,減少拆卸困難,應上一層潤滑脂或機械油。風機與地基結合面,進出風管道連接時,應調整使之自然吻合,不得強行連接,更不許將管道重量加在風機各部件上,并注意保證風機水平位置。檢查循環水是否暢通,傳動組潤滑脂是否適當。
⒊安裝要求
(1)按圖紙所示的位置與尺進行安裝,為確保高效率,特別要保證進風口與葉輪的軸向和徑向間隙尺寸。
(2)保證主軸的水平位置,并測量主軸與電機軸的同心度及連軸器兩端的不平度。兩軸的不平度允差為0.05mm,連軸器兩端面不平度允差為0.05mm。
(3)安裝花瓣式調節裝置時,注意不要裝反。要保證進氣方向與葉輪旋轉方向一致。
(4)安裝后撥動傳動組,檢查是否有過緊或與固定部分有相碰撞現象,發現不妥之處必須調整好。
(5)安裝風機進、出口管道時,注意重量不要加在機殼上。
(6)風機的試運轉
風機全部安裝完畢,并已按電機的有關要求已安裝完畢,在總檢合格后,才能進行試運轉。
風機啟動時必須在無負荷(應將風機管道上的進口閘閥或調節門稍開)的情況下進行,待達到額定轉速后,逐步將閥門開啟,直至達到額定工況為止,再此期間,應嚴格控制電流,不得超過電機的額定值。對新安裝風機,滿載運行不少于2小時。
六、風機的操作
⒈風機啟動前,應進行下列準備工作:
(1)將風機進口管道中的閥門或風機調節門微開或關閉。
(2)檢查風機各部的間隙尺寸,轉動部分與固定部分有無碰撞及摩擦現象。
(3)檢測軸承油位是否在ZUI底與ZUI高油位之間。
(4)檢查電氣線路及儀表是否正常。
(5)檢查冷卻部位及管路是否正常。
⒉當風機啟動后,達到正常轉速時,應在運轉過程中經常檢查軸承溫度是否正常,軸承溫升不得大于40℃,表溫不大于70℃。如發現風機有劇烈震動,撞擊,摩擦聲響,軸承溫度迅速上升等反常現象時必須緊急停車,檢查并消除存在的問題。
七、風機的維護
為了避免由于維護不當而引起人為事故的發生,預防風機和電機各方面自然故障的發生,從而充分發揮設備的效能,延長設備的使用壽命,因此必須加強風機維護。
⒈風機維護工作注意事項:
(1)只有風機設備在完好正常的情況下方可運轉。
(2)如果風機設備在檢修后開動時,則須注意風機各部件是否正常。
(3)定期清除風機內積灰,污垢等雜質,并防止銹蝕。
(4)為確保人身安全,風機的維護必須再停車情況下進行。
⒉風機正常運轉中的注意事項:
(1)在風機開車,停車或運轉過程中,如發現不正常現象時應立即進行檢查,發現較小故障,應查明原因并設法消除。如發現大故障,應立即停車檢查并排除之。
(2)如發現流量過大,不符和使用要求,或是短時間內需要較小的流量,可以利用調節門進行調節,以達到使用要求。
(3)對溫度計及油標的靈敏度定期檢測。
(4)除每次檢修后必須更換潤滑脂外,正常情況下可根據實際情況更換潤滑脂。
八、風機運轉中故障產生的原因
⒈風機的劇烈震動。
(1)進風口或機殼與葉輪摩擦。
(2)基礎的剛度不夠或不牢固。
(3)葉輪鉚釘松動或葉輪變形。
(4)葉輪軸盤孔與軸配合松動。
(5)機殼,軸承座與支架,軸承座與軸承蓋等連接螺栓松動。
(6)風機進,出口管道安裝不良,產生共振。
(7)葉片有積灰,污垢,葉片磨損,葉輪變形及軸彎曲,破壞了轉子的平衡。
⒉軸承升溫過高。
(1)軸承箱震動劇烈。
(2)潤滑脂質量不良,變質和含有灰塵,沙粒,污垢等雜質或充填量不足。
(3)軸承箱蓋座連接螺栓預緊力過大或過小。
(4)軸與滾動軸承安裝歪斜,前后兩軸不同心。
(5)滾動軸承損壞或軸彎曲。
⒊電動機電流過大或升溫過高。
(1)開車時進口管道閥門位置不對。
(2)電動機輸入電壓低或電源單向斷電。
(3)受軸承箱震動劇烈的影響。
(4)主軸轉速超過額定值。
(5)輸送氣體密度大于額定值。
(6)流量超過額定值。
九、單機產品成套供應范圍
風機一臺,配套電機一臺,聯軸器一套,地腳螺栓一副。
十、定貨須知
定貨時必須注明風機機號,輸送介質,溫度,輸送介質中所含固體性質顆粒的硬度,含量及風機轉速,風量,風壓,出風口角度,旋轉方向以及電機型號,功率,轉速等。
注:此樣本的性能參數及風機的安裝尺寸只供用戶參考,如實際采用,請與廠方索取詳細資料。
[上一個: RDF系列離心通風機 ]
[下一個: 4-68系列離心通風機 ]







